题目内容
已知函数f(x)=ax2+blnx在x=1处有极值(Ⅰ)求a,b的值;
(Ⅱ)求函数y=f(x)的单调性.
【答案】分析:(Ⅰ)由函数f(x)=ax2+blnx,知
,由f(x)在x=1处有极值
,知
,由此能求出a,b的值.
(Ⅱ)由f(x)=
,其定义域为(0,+∞),f′(x)=x-
=
.列表讨论,能求出函数f(x)的单调区间.
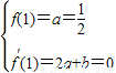
解答:解:(Ⅰ)∵函数f(x)=ax2+blnx,
∴
,
∵f(x)在x=1处有极值
,
∴
,解得a=
,b=-1.
(Ⅱ)由(Ⅰ)得f(x)=
,其定义域为(0,+∞),
且f′(x)=x-
=
.
当x变化时,f′(x),f(x)的变化情况如下表:

∴函数f(x)的单调减区间是(0,1),单调增区间是(1,+∞).
点评:本题考查函数解析式的求法,考查函数的单调区间的求法,考查推理能力,考查运算能力,解题时要注意等价转化思想的合理运用.
(Ⅱ)由f(x)=
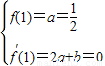
解答:解:(Ⅰ)∵函数f(x)=ax2+blnx,
∴
∵f(x)在x=1处有极值
∴
(Ⅱ)由(Ⅰ)得f(x)=
且f′(x)=x-
当x变化时,f′(x),f(x)的变化情况如下表:
∴函数f(x)的单调减区间是(0,1),单调增区间是(1,+∞).
点评:本题考查函数解析式的求法,考查函数的单调区间的求法,考查推理能力,考查运算能力,解题时要注意等价转化思想的合理运用.
练习册系列答案
相关题目