题目内容

中,角所对的边分别为,且,

(1)求,的值;

(2)若,求的值.

 

【答案】

(1)     (2)

【解析】

试题分析:三角形中的求值问题,既要应用三角恒等变换技巧,又要考虑三角形的内角和定理、正弦定理、余弦定理、面积公式等的灵活运用.(1)先由同角三角函数关系求出,再由内角和定理得,应用两角差的正弦公式求出.(2)先由正弦定理得,再与已知条件联立求出.

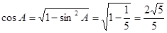
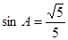
试题解析:(1),  3分

所以          6分

(2)由(1)及正弦定理, 得                    9分

又因为,所以.                                    12分

考点:三角恒等变换  解三角形

 

练习册系列答案
相关题目

违法和不良信息举报电话:027-86699610 举报邮箱:58377363@163.com

精英家教网