题目内容
设各项均为正数的数列{an}的前n项和为Sn,已知2a2=a1+a3,数列
是公差为d的等差数列,
(Ⅰ)求数列{an}的通项公式(用n,d表示);
(Ⅱ)设c为实数,对满足m+n=3k且m≠n的任意正整数m,n,k,不等式Sm+Sn>cSk都成立,求证:c的最大值为
。
(Ⅰ)求数列{an}的通项公式(用n,d表示);
(Ⅱ)设c为实数,对满足m+n=3k且m≠n的任意正整数m,n,k,不等式Sm+Sn>cSk都成立,求证:c的最大值为
解:(Ⅰ)由题设知,
,
则当n≥2时,
,
由
得
,
解得
=d,
故当n≥2时,an=2nd2-d2,
又a1=d2,
所以数列{an}的通项公式为an=(2n-1)d2.
(Ⅱ)由
=d及
,
得d>0,Sn=d2n2,
于是,对满足题设的m,n,k,m≠n,
有
,
所以c的最大值
;
另一方面,任取实数
,
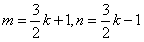
设k为偶数,令
,则m,n,k符合条件,
且
,
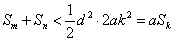
于是,只要9k2+4<2ak2,
即当
时,就有
,
所以满足条件的
,从而
,
因此c的最大值为
。
则当n≥2时,
由
解得
故当n≥2时,an=2nd2-d2,
又a1=d2,
所以数列{an}的通项公式为an=(2n-1)d2.
(Ⅱ)由
得d>0,Sn=d2n2,
于是,对满足题设的m,n,k,m≠n,
有
所以c的最大值
另一方面,任取实数
设k为偶数,令
且
于是,只要9k2+4<2ak2,
即当
所以满足条件的
因此c的最大值为
练习册系列答案
相关题目