题目内容
若向量
相互垂直,则点(2,3)到点(x,y)的距离的最小值为 .
【答案】
![]()
【解析】
试题分析:由已知得:
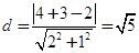
,所以点(2,3)到点(x,y)的距离的最小值即为点到直线
的距离:
.
考点:1、向量的数量积及向量的垂直关系;2、点到直线的距离.
练习册系列答案
相关题目
题目内容
若向量
相互垂直,则点(2,3)到点(x,y)的距离的最小值为 .
![]()
【解析】
试题分析:由已知得:
,所以点(2,3)到点(x,y)的距离的最小值即为点到直线
的距离:
.
考点:1、向量的数量积及向量的垂直关系;2、点到直线的距离.