题目内容

(选修4-4:坐标系与参数方程)已知曲线C的参数方程是(φ为参数,a>0),直线l的参数方程是(t为参数),曲线C与直线l有一个公共点在x轴上,以坐标原点为极点,x轴的正半轴为极轴建立坐标系.
(Ⅰ)求曲线C普通方程;
(Ⅱ)若点在曲线C上,求的值.
【答案】分析:(Ⅰ)消去直线l的参数t得普通方程,令y=0,得x的值,即求得直线与x轴的交点;消去曲线C的参数即得C的普通方程,再把上面求得的点代入此方程即可求出a的值;
(Ⅱ)把点A、B、C的极坐标化为直角坐标,代入曲线C的方程,可得,即=,同理得出其它,代入即可得出答案.
解答:解:(Ⅰ)∵直线l的参数方程是(t为参数),消去参数t得x+y=2,令y=0,得x=2.
∵曲线C的参数方程是(φ为参数,a>0),消去参数φ得
把点(2,0)代入上述方程得a=2.
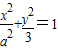
∴曲线C普通方程为
(Ⅱ)∵点在曲线C上,即A(ρ1cosθ,ρ1sinθ),在曲线C上,
==
=
=+
=
点评:正确消去参数化为普通方程、把极坐标化为直角坐标并代入曲线C的方程得出结论及熟练进行恒等变形是解题的关键.
练习册系列答案
相关题目

违法和不良信息举报电话:027-86699610 举报邮箱:58377363@163.com

精英家教网