题目内容
已知数列{an}和{bn}满足:a1=1,a2=2,an>0,
(n∈N*),且{bn}是以q为公比的等比数列。
(1)证明:an+2=anq2;
(2)若cn=a2n-1+2a2n,证明数列{cn}是等比数列;
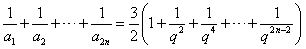
(Ⅲ)求和:
。
(1)证明:an+2=anq2;
(2)若cn=a2n-1+2a2n,证明数列{cn}是等比数列;
(Ⅲ)求和:
解:(1)证:由
,有
∴
。
(2)证:∵
∴
,
∴
∴
是首项为5,以
为公比的等比数列。
(3)由(2)得
,
于是


当
时,

当
时,


故
∴
(2)证:∵
∴
∴
∴
(3)由(2)得
于是
当
当
故
练习册系列答案
相关题目