题目内容
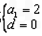
设{an}是公差不为零的等差数列,Sn为其前n项和,满足:S4=8且a1,a2,a5成等比数列.
(I)求数列{an}的通项公式;
(II)设数列{bn}满足:
,n∈N*,Tn为数列{bn}的前n项和,问是否存在正整数n,使得Tn=2012成立?若存在,求出n;若不存在,请说明理由.
(I)求数列{an}的通项公式;
(II)设数列{bn}满足:
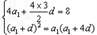
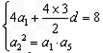
解:(I)设数列{an}的公差为d,且d≠0
∵S4=8且a1,a2,a5成等比数列.
∴
,即
解得
或
(舍)
∴![]()
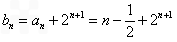
(II)由题知:
,
∴
若Tn=2012,则
,
即![]()
令
,知f(n)单调递增,
当
时,![]()
当
时,
,
故不存在正整数n,使得Tn=2012成立。
练习册系列答案
相关题目
设{an}是公差不为0的等差数列,a1=2且a1,a3,a6成等比数列,则{an}的前n项和Sn=( )
A、
| ||||
B、
| ||||
C、
| ||||
| D、n2+n |