题目内容
已知数列{an}的前n项和Sn,对一切正整数n,点(n,Sn)都在函数f(x)=2x+2-4的图象上。
(1)求数列{an}的通项公式;
(2)设bn=an·log2an,求数列{bn}的前n项和Tn。
(1)求数列{an}的通项公式;
(2)设bn=an·log2an,求数列{bn}的前n项和Tn。
解:(1)由题意知,Sn=2n+2-4,
n≥2时,an=Sn-Sn-1=2n+2-2n+1=2n+1,
当n=1时,a1=S1=23-4=4,也适合上式,
∴数列{an}的通项公式为an=2n+1,n∈N*。
(2)∵bn=anlog2an=(n+1)·2n+1,
∴Tn=2·22+3·23+4·24+…+n·2n+(n+1)·2n+1,①
2Tn=2·23+3·24+4·25+…+n·2n+1+(n+1)·2n+2 ②
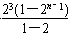
②-①,得Tn=-23-23-24-25-…-2n+1+(n+1)·2n+2=-23-
+(n+1)·2n+2
=-23-23(2n-1-1)+(n+1)·2n+2=(n+1)·2n+2-23·2n-1=(n+1)·2n+2-2n+2=n·2n+2。
n≥2时,an=Sn-Sn-1=2n+2-2n+1=2n+1,
当n=1时,a1=S1=23-4=4,也适合上式,
∴数列{an}的通项公式为an=2n+1,n∈N*。
(2)∵bn=anlog2an=(n+1)·2n+1,
∴Tn=2·22+3·23+4·24+…+n·2n+(n+1)·2n+1,①
2Tn=2·23+3·24+4·25+…+n·2n+1+(n+1)·2n+2 ②
②-①,得Tn=-23-23-24-25-…-2n+1+(n+1)·2n+2=-23-
=-23-23(2n-1-1)+(n+1)·2n+2=(n+1)·2n+2-23·2n-1=(n+1)·2n+2-2n+2=n·2n+2。
练习册系列答案
相关题目
已知数列{an}的前n项和Sn=an2+bn(a、b∈R),且S25=100,则a12+a14等于( )
| A、16 | B、8 | C、4 | D、不确定 |