题目内容
已知数列{an}的前n项和为Sn,若Sn=2an+n.(1)求证:数列{an-1}为等比数列;
(2)若数列{bn}满足
【答案】分析:(1)由Sn=2an+n,可知当n≥2时,Sn-1=2an-1+n-1,两式相减整理即可证明
(2)由(1)可求an,代入
可求bn,利用错位相减求和即可
解答:(1)证明:∵Sn=2an+n.
∴当n≥2时,Sn-1=2an-1+n-1.
两式相减可得,sn-sn-1=2an-2an-1+1
即an=2an-2an-1+1
∴an-1=2(an-1-1)
∵n=1时,S1=2a1+1
∴a1=-1,a1-1=-2
∴数列{an-1}是以-2为首项,以2为公比的等比数列;
(2)解:由(1)可得
=-2n
∴
∵
∴
∴Tn=1•2+2•22+3•23+…+n•2n
2Tn=1•22+2•23+…+(n-1)•2n+n•2n+1
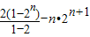
两式相减可得,-Tn=2+22+23+…+2n-n•2n+1
=
=2n+1-2-n•2n+1
∴Tn=(n-1)•2n+1+2
点评:本题主要考查了利用数列的递推公式构造等比数列求解 数列的通项公式,数列的求和方法:错位相减求和的应用.
(2)由(1)可求an,代入
解答:(1)证明:∵Sn=2an+n.
∴当n≥2时,Sn-1=2an-1+n-1.
两式相减可得,sn-sn-1=2an-2an-1+1
即an=2an-2an-1+1
∴an-1=2(an-1-1)
∵n=1时,S1=2a1+1
∴a1=-1,a1-1=-2
∴数列{an-1}是以-2为首项,以2为公比的等比数列;
(2)解:由(1)可得
∴
∵
∴
∴Tn=1•2+2•22+3•23+…+n•2n
2Tn=1•22+2•23+…+(n-1)•2n+n•2n+1
两式相减可得,-Tn=2+22+23+…+2n-n•2n+1
=
=2n+1-2-n•2n+1
∴Tn=(n-1)•2n+1+2
点评:本题主要考查了利用数列的递推公式构造等比数列求解 数列的通项公式,数列的求和方法:错位相减求和的应用.
练习册系列答案
相关题目
已知数列{an}的前n项和Sn=an2+bn(a、b∈R),且S25=100,则a12+a14等于( )
| A、16 | B、8 | C、4 | D、不确定 |