题目内容
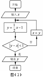
执行如图(2)所示的程序框图,若输入,则输出的值为 .
执行如图(2)所示的程序框图,若输入,则输出的值为__________________.
执行如图(2)所示的程序框图,若输入,则输出的值为 __________________.