题目内容
已知数列{an}满足:a1=3,
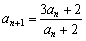
,n∈N*,记
。
(I)求证:数列{bn}是等比数列;
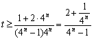
(Ⅱ)若an≤t·4n对任意n∈N*恒成立,求t的取值范围;
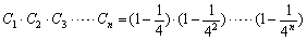
(Ⅲ)记
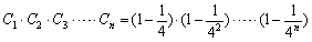
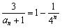
,求证:C1·C2·…· Cn>
。
(I)求证:数列{bn}是等比数列;
(Ⅱ)若an≤t·4n对任意n∈N*恒成立,求t的取值范围;
(Ⅲ)记
(Ⅰ)证明:由
,得
, ①
, ②
∴
,即
,且
,
∴数列
是首项为
,公比为
的等比数列.
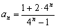
(Ⅱ)解:由(Ⅰ)知,
,
∴
,
由
得
,
易知
是关于n的减函数,
∴
,解得:
。
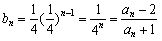
(Ⅲ)解:由
,得
,
∴
,
∴
,
下面用数学归纳法证明不等式:
若
为正数,则
(*)
1o当n=2时,∵
,
∴
;
2o假设当n=k(k≥2)时,不等式成立,即若x1,x2,……,xk为正数,
则
,
那么
,
这就是说当n=k+1时不等式成立。
根据不等式(*)得:

,
∴
。
∴
∴数列
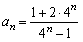
(Ⅱ)解:由(Ⅰ)知,
∴
由
易知
∴
(Ⅲ)解:由
∴
∴
下面用数学归纳法证明不等式:
若
1o当n=2时,∵
∴
2o假设当n=k(k≥2)时,不等式成立,即若x1,x2,……,xk为正数,
则
那么
这就是说当n=k+1时不等式成立。
根据不等式(*)得:
∴
练习册系列答案
相关题目