题目内容
设函数f(x)的定义域为(0,+∞)且对任意正实数x、y都有f(xy)=f(x)+f(y)恒成立.已知f(2)=1且x>1时f(x)>0.(1)求f(
(2)判断f(x)在(0,+∞)上的单调性,并证明;
(3)一个各项均为正数的数列{an}满足f(Sn)=f(an)+f(an+1)-1(n∈N*),其中Sn是数列{an}的前n项和,求{an}的通项公式.
【答案】分析:(1)利用赋值法求值.
(2)利用单调性的定义证明函数的单调性;注意应用抽象函数的相关性质.
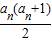
(3)先得出和与通项的关系Sn=
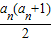
,(n∈N*),得出S n-1=
,n≥2,两式相减,得出数列递推式,再去变形,求通项公式.
解答:解:(1)令x=y=1,得f(1)=0
而令x=2,y=
,得f(1)=f(2)+f(
)
∴f(
)=-f(2)=-1,(4分)
(2)在(0,+∞)上任取两数x1,x2,且x1<x2,
令
=k,则f(k)>0
∴f(x2)=f(kx1)=f(k)+f(x1)>f(x1)
∴f(x)在(0,+∞)上是单调增函数.(8分)
(3)f(Sn)=f(an)+f(an+1)-1(n∈N*)
=f(an)+f(an+1)+f(
)
=f[
],
由于f(x)在(0,+∞)上是单调增函数,
∴Sn=
,n∈N*)
∴S n-1=
,n≥2
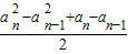
两式相减,有
=an,
整理得(an+an-1)(a n-a n-1-1)=0
∵an>0,∴a n-a n-1-1=0,a n-a n-1=1,n≥2
所以数列{an}是公差为1的等差数列,
当n=1时,a1=S1=
,a1=1
∴an=n (14分)
点评:本题考查抽象函数的单调性,考查数列与函数的综合,考查单调性的证明,考查数列通项的求解,正确理解题意是关键.
(2)利用单调性的定义证明函数的单调性;注意应用抽象函数的相关性质.
(3)先得出和与通项的关系Sn=
解答:解:(1)令x=y=1,得f(1)=0
而令x=2,y=
∴f(
(2)在(0,+∞)上任取两数x1,x2,且x1<x2,
令
∴f(x2)=f(kx1)=f(k)+f(x1)>f(x1)
∴f(x)在(0,+∞)上是单调增函数.(8分)
(3)f(Sn)=f(an)+f(an+1)-1(n∈N*)
=f(an)+f(an+1)+f(
=f[
由于f(x)在(0,+∞)上是单调增函数,
∴Sn=
∴S n-1=
两式相减,有
整理得(an+an-1)(a n-a n-1-1)=0
∵an>0,∴a n-a n-1-1=0,a n-a n-1=1,n≥2
所以数列{an}是公差为1的等差数列,
当n=1时,a1=S1=
∴an=n (14分)
点评:本题考查抽象函数的单调性,考查数列与函数的综合,考查单调性的证明,考查数列通项的求解,正确理解题意是关键.
练习册系列答案
相关题目