题目内容
已知函数f(x)=(a+1)lnx+ax2+1。
(I)讨论函数f(x)的单调性;
(Ⅱ)设a≤-2,证明:对任意x1,x2∈(0,+∞),|f(x1)-f(x2)|≥4|x1-x2|。
(I)讨论函数f(x)的单调性;
(Ⅱ)设a≤-2,证明:对任意x1,x2∈(0,+∞),|f(x1)-f(x2)|≥4|x1-x2|。
解:(Ⅰ)f(x)的定义域为


当a≥0时,
,故f(x)在
单调增加
当a≤-1时,
,故f(x)在
单调减少
当-1<a<0时,令
,解得
则当
时,
时,
故f(x)在
单调增加,在
单调减少;
(Ⅱ)不妨假设x1>x2
由于a≤-2,故f(x)在(0,+∞)单调减少
所以|f(x1)-f(x2)|≥4|x1-x2|等价于 f(x2)-f(x1)≥4x1-4x2
即f(x2)+4x2≥f(x1)+4x1
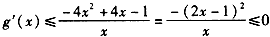
令g(x)=f(x)+4x,则

于是
从而g(x)在(0,+∞)单调减少,故g(x1)≤g(x2)
即f(x1)+4x1≤f(x2)+4x2
故对任意x1,x2∈(0,+∞),|f(x1)-f(x2)|≥4|x1-x2|。
当a≥0时,
当a≤-1时,
当-1<a<0时,令
则当
故f(x)在
(Ⅱ)不妨假设x1>x2
由于a≤-2,故f(x)在(0,+∞)单调减少
所以|f(x1)-f(x2)|≥4|x1-x2|等价于 f(x2)-f(x1)≥4x1-4x2
即f(x2)+4x2≥f(x1)+4x1
令g(x)=f(x)+4x,则
于是
从而g(x)在(0,+∞)单调减少,故g(x1)≤g(x2)
即f(x1)+4x1≤f(x2)+4x2
故对任意x1,x2∈(0,+∞),|f(x1)-f(x2)|≥4|x1-x2|。
练习册系列答案
相关题目
已知函数f(x)=x2-bx的图象在点A(1,f(1))处的切线l与直线3x-y+2=0平行,若数列{
}的前n项和为Sn,则S2010的值为( )
| 1 |
| f(n) |
A、
| ||
B、
| ||
C、
| ||
D、
|