题目内容
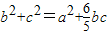
在△ABC中,角A,B,C所对的边分别为a,b,c,且满足(1)求△ABC的面积;
(2)若c=1,求
【答案】分析:(1)直接利用余弦定理通过已知条件,求出A的余弦值,利用同角三角函数的基本关系式,求出A的正弦值,利用斜率的数量积求出bc,即可求△ABC的面积;
(2)通过c=1,集合(1)求出b的大小,利用余弦定理求出a,求出cosB,sinB,展开
,即可求解它的值.
解答:(本题满分14分)
解:(1)∵
,∴
,
-----------(2分)
又A∈(0,π),∴
,---------------------------------(3分)
而
,所以bc=5,-------------------(5分)
所以△ABC的面积为:
-----------------------------(7分)
(2)由(1)知bc=5,而c=1,所以b=5--------------------------------------(8分)
所以
---------------------------(9分)
∴
,
---------------------------------(11分)
∴
-----------(14分)
点评:本题考查正弦定理与余弦定理的应用,两角和的正弦函数与余弦函数,同角三角函数的基本关系式的应用,考查解三角形的知识.
(2)通过c=1,集合(1)求出b的大小,利用余弦定理求出a,求出cosB,sinB,展开
解答:(本题满分14分)
解:(1)∵
又A∈(0,π),∴
而
所以△ABC的面积为:
(2)由(1)知bc=5,而c=1,所以b=5--------------------------------------(8分)
所以
∴
∴
点评:本题考查正弦定理与余弦定理的应用,两角和的正弦函数与余弦函数,同角三角函数的基本关系式的应用,考查解三角形的知识.
练习册系列答案
相关题目
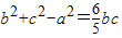
在△ABC中,角A、B、C所对的边分别为a,b,c,若b2+c2-a2=
bc,且b=
a,则下列关系一定不成立的是( )
| 3 |
| 3 |
| A、a=c |
| B、b=c |
| C、2a=c |
| D、a2+b2=c2 |