题目内容
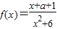
设函数
【答案】分析:根据题意,分析可得函数f(x)的定义域为R,结合函数是奇函数,则有f(0)=0,计算可得答案.
解答:解:根据题意,分析可得函数
的定义域为R,
又由函数f(x)为奇函数,必有f(0)=0,
即f(0)=
=0,
则a=-1;
故答案为-1.
点评:本题考查函数奇偶性的应用,对于定义域包含实数0的奇函数,必有f(0)=0.
解答:解:根据题意,分析可得函数
又由函数f(x)为奇函数,必有f(0)=0,
即f(0)=
则a=-1;
故答案为-1.
点评:本题考查函数奇偶性的应用,对于定义域包含实数0的奇函数,必有f(0)=0.
练习册系列答案
相关题目