题目内容
数列{an}中,a1=1,当n≥2时,an是
【答案】分析:利用
的二项展开式的通项公式可求得二项展开式中x的系数,即当n≥2时的an,
解答:解:设
的二项展开式的通项公式为Tr+1=
(-1)r•3n-r•
,
令r=2,则T3=
3n-2x,
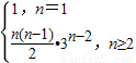
∴当n≥2时,an=
•3n-2,
∴an=
又bn=
,数列{bn}的前n项和为Tn,
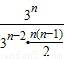
∴当n≥2时,bn=
=
=18(
-
),又b1=3,
∴T99=3+18[(1-
)+(
-
)+…+(
-
)]
=3+18(1-
)
=3+
=
.
故答案为:
;
.
点评:本题考查二项式定理,考查数列的裂项法求和,考查分类讨论思想与化归思想的综合应用,属于难题.
解答:解:设
令r=2,则T3=
∴当n≥2时,an=
∴an=
又bn=
∴当n≥2时,bn=
∴T99=3+18[(1-
=3+18(1-
=3+
=
故答案为:
点评:本题考查二项式定理,考查数列的裂项法求和,考查分类讨论思想与化归思想的综合应用,属于难题.
练习册系列答案
相关题目
数列{an}中,a1=
,an+an+1=
,n∈N*,则
(a1+a2+…+an)等于( )
| 1 |
| 5 |
| 6 |
| 5n+1 |
| lim |
| n→∞ |
A、
| ||
B、
| ||
C、
| ||
D、
|