题目内容
设计算法流程图,要求输入自变量
的值,输出函数
的值,并用复合if语句描述算法。
18.
![]()
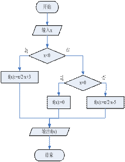
输入
;
if x < 0, then f(x):= π/2∙x+3;
else if x = 0,
then f(x):=0;
else f(x):= π/2∙x-5. 输出f(x).
练习册系列答案
相关题目
题目内容
设计算法流程图,要求输入自变量
的值,输出函数
的值,并用复合if语句描述算法。
18.
![]()
输入
;
if x < 0, then f(x):= π/2∙x+3;
else if x = 0,
then f(x):=0;
else f(x):= π/2∙x-5. 输出f(x).