题目内容
已知正项数列{an}的前n和为Sn,且(1)求证:数列{an}是等差数列;
(2)若
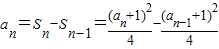
【答案】分析:(1)要证明数列{an}为等差数列,需证明an-an-1=d,由已知条件可得
(2)
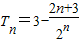
用错位相减求和
解答:解:(1)由题意可知,
当n≥2,
整理可得(an-1)2=(an-1+1)2=(an-1+1)2
∵an>0∴an-an-1=2
n=1,由
数列an以1为首项,以2为公差的等差数列
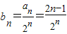
(2)由(1)可得an=1+2(n-1)=2n-1
∴
①
②

∴
点评:本题重点考查利用递推公式
转化数列an+1与an的递推关系、等差数列的证明及错位相减求数列的和,求解的关键是要把握递推公式的转化.
(2)
解答:解:(1)由题意可知,
当n≥2,
整理可得(an-1)2=(an-1+1)2=(an-1+1)2
∵an>0∴an-an-1=2
n=1,由
数列an以1为首项,以2为公差的等差数列
(2)由(1)可得an=1+2(n-1)=2n-1
∴
∴
点评:本题重点考查利用递推公式
练习册系列答案
相关题目