题目内容
已知函数(1)若a=-1,求f(x)的单调递增区间;
(2)当x>1时,f(x)>lnx恒成立,求实数a的取值范围.
【答案】分析:(1)若a=-1时,
,x>0,由f′(x)>0,能求出函数f(x)的单调递增区间.
(2)依题意得f(x)-lnx>0,故
,所以
,由此能求出实数a的取值范围.
解答:解:(1)∵
,
∴若a=-1时,
,x>0,
由f′(x)>0,得
,又x>0,解得x>1,
所以函数f(x)的单调递增区间为(1,+∞).
(2)依题意得f(x)-lnx>0,
即
,
∴
∵x>1,∴lnx>0
∴
,
∴
,
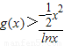
设
,
,
令g′(x)=0,解得x=
,
当
时,g′(x)>0,g(x)在(0,
)上单调递增;
当
时,g′(x)<0,g(x)在(
,+∞)上单调递减;
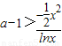
∴
∴a-1>-e,即a>1-e.
故实数a的取值范围是(1-e,+∞).
点评:本题考查函数的增区间的求法,考查满足条件的实数的取值范围的求法.解题时要认真审题,仔细解答,注意导数性质的灵活运用.
(2)依题意得f(x)-lnx>0,故
解答:解:(1)∵
∴若a=-1时,
由f′(x)>0,得
所以函数f(x)的单调递增区间为(1,+∞).
(2)依题意得f(x)-lnx>0,
即
∴
∵x>1,∴lnx>0
∴
∴
设
令g′(x)=0,解得x=
当
当
∴
∴a-1>-e,即a>1-e.
故实数a的取值范围是(1-e,+∞).
点评:本题考查函数的增区间的求法,考查满足条件的实数的取值范围的求法.解题时要认真审题,仔细解答,注意导数性质的灵活运用.
练习册系列答案
相关题目