题目内容

已知等差数列满足,,则前n项和取最大值时,n的值为(     )

A.20       B.21       C.22       D.23

 

【答案】

B

【解析】

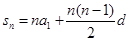
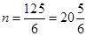
试题分析:因为等差数列的前n项和公式,可以看做关于n的二次函数,因此我们可以利用二次函数求最值解决本题.由已知代入求和公式得.对称轴为所以答案为B

考点:等差数列前n项和公式

 

练习册系列答案
相关题目

违法和不良信息举报电话:027-86699610 举报邮箱:58377363@163.com

精英家教网