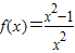
题目内容
设函数(1)若E={1,2},判断实数λ=lg22+lg2lg5+lg5-
(2)若E={1,2,a},F={0,
(3)若
【答案】分析:(1)由已知中函数f(x)的解析式,将x∈{1,2}代入求出集合E,利用对数的运算性质求出λ,进而根据元素与集合的关系可得答案;
(2)分别令f(a)=0,即
,令f(a)=
,即可求出实数a的值.
(3)求出函数f(x)的导函数,判断函数的单调性,进而根据函数f(x)的值域为[2-3m,2-3n],x∈[
,
],m>0,n>0构造关于m,n的方程组,进而得到m,n的值.
解答:解:(1)∵
,∴当x=1时,f(x)=0;当x=2时,f(x)=
,∴F={0,
}.
∵λ=lg22+lg2lg5+lg5-16
=lg2(lg2+lg5)+lg5-
=lg2+lg5-
=lg10-
=
.
∴λ∈F.…(5分)
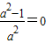
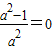
(2)令f(a)=0,即
,a=±1,取a=-1;
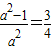
令f(a)=
,即
,a=±2,取a=-2,
故a=-1或-2.…(9分)
(3)∵
是偶函数,且f'(x)=
>0,
则函数f(x)在(-∞,0)上是减函数,在(0,+∞)上是增函数.
∵x≠0,∴由题意可知:
或0<
.
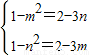
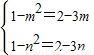
若
,则有
,即
,
整理得m2+3m+10=0,此时方程组无解;
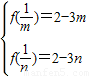
若0<
,则有
,即
,
∴m,n为方程x2-3x+1=0,的两个根.∵0<
,∴m>n>0,
∴m=
,n=
.…(16分)
点评:本题考查的知识点是函数奇偶性与单调性,考查运算求解能力,考查方程思想,化归与转化思想.属于基础题.
(2)分别令f(a)=0,即
(3)求出函数f(x)的导函数,判断函数的单调性,进而根据函数f(x)的值域为[2-3m,2-3n],x∈[
解答:解:(1)∵
∵λ=lg22+lg2lg5+lg5-16
∴λ∈F.…(5分)
(2)令f(a)=0,即
令f(a)=
故a=-1或-2.…(9分)
(3)∵
则函数f(x)在(-∞,0)上是减函数,在(0,+∞)上是增函数.
∵x≠0,∴由题意可知:
若
整理得m2+3m+10=0,此时方程组无解;
若0<
∴m,n为方程x2-3x+1=0,的两个根.∵0<
∴m=
点评:本题考查的知识点是函数奇偶性与单调性,考查运算求解能力,考查方程思想,化归与转化思想.属于基础题.
练习册系列答案
相关题目