题目内容
已知数列{an}的前n项和Sn=
an(n∈N*),且a2=1。
(1)求数列{an}的通项公式;
(2)设bn=(1+an)qn-1(q≠0,n∈N*),求数列{bn}的前n项和Tn。
(1)求数列{an}的通项公式;
(2)设bn=(1+an)qn-1(q≠0,n∈N*),求数列{bn}的前n项和Tn。
解:(1)∵
∴
当n≥3时,
两式相减得
∴
相乘得
∴
(n∈N*)
(2)由(1)的解答得
于是
若q≠1,将上式两边同乘以q,得

将上面两式相减,得

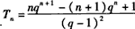
于是
若q=1,则
∴
。
∴
当n≥3时,
两式相减得
∴
相乘得
∴
(2)由(1)的解答得
于是
若q≠1,将上式两边同乘以q,得
将上面两式相减,得
于是
若q=1,则
∴
练习册系列答案
相关题目
已知数列{an}的前n项和Sn=an2+bn(a、b∈R),且S25=100,则a12+a14等于( )
| A、16 | B、8 | C、4 | D、不确定 |