题目内容
设数列{an}的前n项和为Sn,已知a1=a2=1,bn=nSn+(n+2)an,数列{bn}是公差为d的等差数列,n∈N*.(1)求d的值;
(2)求数列{an}的通项公式;
(3)求证:
【答案】分析:(1)根据a1=a2=1,bn=nSn+(n+2)an,求出数列{bn}的前两项,即可求得数列的公差;
(2)先求数列{bn}的通项公式,进而再利用条件,两式相减,即可求得数列{an}的通项公式;
(3)先利用基本不等式,得出
,进而相乘,即可证明.
解答:解:(1)∵a1=a2=1,bn=nSn+(n+2)an,
∴b1=S1+3a1,b2=2S2+4a2,
∴d=b2-b1=4
(2)∵数列{bn}是公差为4的等差数列,b1=4
∴bn=4n
∵bn=nSn+(n+2)an,
∴4n=nSn+(n+2)an,
∴
①
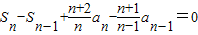
当n≥2时,
②
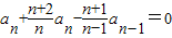
①-②:
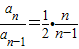
∴
∴
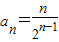
∴
=
∵a1=1,∴
(3)∵
∴
∴
∴
③
∵n=1,
∴等号不成立
∴
点评:本题重点考查数列的通项,考查不等式的证明,解题的关键是挖掘数列的通项与前n项和的关系.
(2)先求数列{bn}的通项公式,进而再利用条件,两式相减,即可求得数列{an}的通项公式;
(3)先利用基本不等式,得出
解答:解:(1)∵a1=a2=1,bn=nSn+(n+2)an,
∴b1=S1+3a1,b2=2S2+4a2,
∴d=b2-b1=4
(2)∵数列{bn}是公差为4的等差数列,b1=4
∴bn=4n
∵bn=nSn+(n+2)an,
∴4n=nSn+(n+2)an,
∴
当n≥2时,
①-②:
∴
∴
∴
∵a1=1,∴
(3)∵
∴
∴
∴
∵n=1,
∴等号不成立
∴
点评:本题重点考查数列的通项,考查不等式的证明,解题的关键是挖掘数列的通项与前n项和的关系.
练习册系列答案
相关题目