题目内容
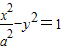
已知抛物线y2=8x的焦点与双曲线
【答案】分析:先确定抛物线的焦点坐标,可得双曲线的焦点坐标,从而可求双曲线的离心率.
解答:解:抛物线y2=8x的焦点坐标为(2,0)
∵抛物线y2=8x的焦点与双曲线
的一个焦点重合,
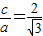
∴a2+1=4,∴a=
∴e=
=
故答案为:
点评:本题考查抛物线的标准方程,考查抛物线与双曲线的几何性质,属于基础题.
解答:解:抛物线y2=8x的焦点坐标为(2,0)
∵抛物线y2=8x的焦点与双曲线
∴a2+1=4,∴a=
∴e=
故答案为:
点评:本题考查抛物线的标准方程,考查抛物线与双曲线的几何性质,属于基础题.
练习册系列答案
相关题目
已知抛物线y2=8x的准线与双曲线
-
=1(a>0,b>0)相交于A,B两点,双曲线的一条渐近线方程是y=2
x,点F是抛物线的焦点,且△FAB是直角三角形,则双曲线的标准方程是( )
| x2 |
| a2 |
| y2 |
| b2 |
| 2 |
A、
| ||||
B、x2-
| ||||
C、
| ||||
D、
|