题目内容
已知正项数列{an}的前项和为Sn,且满足
.
(Ⅰ)求证:数列{an}是等差数列;
(Ⅱ)设
;
(Ⅲ)设
,求证:
.
(Ⅰ)求证:数列{an}是等差数列;
(Ⅱ)设
(Ⅲ)设
(Ⅰ)证明:∵2
=an+1,
∴
,
∴a n+1=S n+1﹣Sn=
﹣
=
,
即:2(a n+1+an)=(an+1+an)(an+1﹣an),
∴(an+1+an)(an+1﹣an﹣2)=0,
∵an>0,∴a n+1+an>0,
∴an+1﹣an﹣2=0,
∴a n+1﹣an=2,
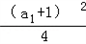
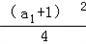
当n=1时,S1=
,即a1=
,
∴
,解得a1=1.
∴数列{an}是首项为a1=1,公差d=2的等差数列.
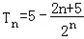
(Ⅱ)解:由(Ⅰ)知:an=a1+(n﹣1)d=2n﹣1,
∵
=
,
∴Tn=b1+b2+…+bn=
, ①
=
, ②
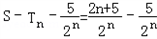
①﹣②得:
=
=
,
∴
.
(Ⅲ)证明:由(Ⅱ)得:
=
,
∴
=
=
,
∴c1+c2+c3+…+cn=
=
,
故,
.
∴
∴a n+1=S n+1﹣Sn=
即:2(a n+1+an)=(an+1+an)(an+1﹣an),
∴(an+1+an)(an+1﹣an﹣2)=0,
∵an>0,∴a n+1+an>0,
∴an+1﹣an﹣2=0,
∴a n+1﹣an=2,
当n=1时,S1=
∴
∴数列{an}是首项为a1=1,公差d=2的等差数列.
(Ⅱ)解:由(Ⅰ)知:an=a1+(n﹣1)d=2n﹣1,
∵
∴Tn=b1+b2+…+bn=
①﹣②得:
∴
(Ⅲ)证明:由(Ⅱ)得:
∴
∴c1+c2+c3+…+cn=
=
故,
练习册系列答案
相关题目