题目内容
已知函数f(x)=(x2-3x+3)·ex,设f(-2)=m,f(t)=n。
(1)试确定t的取值范围,使得函数f(x)在[-2,t]上为单调函数;
(2)当t>-2时,判断f(-2)和f(t)的大小,并说明理由;
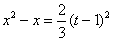
(3)求证:当1<t<4时,关于x的方程:
在区间[-2,t]上总有两个不同的解。
解:(1)因为![]()
由![]()
由![]()
所以
在
上递增
在
上递减
要使
在
上为单调函数
则
。
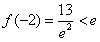
(2)
在
上递增
在
上递减
∴
在
处有极小值e
又![]()
∴
在
上的最小值为![]()
从而当
时,
。
(3)∵![]()
又∵![]()
∴![]()
令![]()
从而问题转化为证明当
时
方程
=0在
上有两个解
∵![]()
![]()
当
时,![]()
但由于![]()
所以
在
上有解,且有两解。
练习册系列答案
相关题目
已知函数f(x)=x2-bx的图象在点A(1,f(1))处的切线l与直线3x-y+2=0平行,若数列{
}的前n项和为Sn,则S2010的值为( )
| 1 |
| f(n) |
A、
| ||
B、
| ||
C、
| ||
D、
|