题目内容
A、B两点都在河的对岸(不可到达),设计一种测量A、B两点间距离的方法。
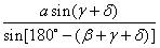
| 解:测量者可以在河岸边选定两点C、D测得CD=a,并且在C、D两点分别测得∠BCA=α,∠ACD=β,∠CDB=γ,∠BDA=δ,如图,在△ADC和△BDC中,应用正弦定理,得 AC= 计算出AC和BC后,再在△ABC中,应用余弦定理计算出AB两点距离: |
练习册系列答案
相关题目
题目内容
| 解:测量者可以在河岸边选定两点C、D测得CD=a,并且在C、D两点分别测得∠BCA=α,∠ACD=β,∠CDB=γ,∠BDA=δ,如图,在△ADC和△BDC中,应用正弦定理,得 AC= 计算出AC和BC后,再在△ABC中,应用余弦定理计算出AB两点距离: |