题目内容
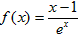
已知函数f(x)=
。
(Ⅰ)当a=1时,求f(x)的单调区间;
(Ⅱ)若对任意t∈
,f(t)>t恒成立,求实数a的取值范围。
(Ⅰ)当a=1时,求f(x)的单调区间;
(Ⅱ)若对任意t∈
解:(I)当a=1时,
∴
由
得x<2,
,得x>2
∴f(x)的单调递增区间为
,单调递减区间为
;
(II)若对任意
,使得f(t)>t恒成立,则
时,
恒成立,
即
时,
恒成立,
设
,
则
,
设
,
∵
在
上恒成立
∴h(x)在
上单调递增,
即
在
上单调递增,
∵
,
∵
∴
在
有零点在上单调递减,在
上单调递增,
∴
即
,
∴
。
∴
由
∴f(x)的单调递增区间为
(II)若对任意
即
设
则
设
∵
∴h(x)在
即
∵
∵
∴
∴
即
∴
练习册系列答案
相关题目
已知函数f(x)=x2-bx的图象在点A(1,f(1))处的切线l与直线3x-y+2=0平行,若数列{
}的前n项和为Sn,则S2010的值为( )
| 1 |
| f(n) |
A、
| ||
B、
| ||
C、
| ||
D、
|