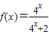
题目内容
已知函数
【答案】分析:由函数
,能够推导出f(x)+f(1-x)=1.由此能够求出
的值.
解答:解:∵函数
,
∴
,
∴f(x)+f(1-x)=1.
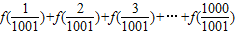
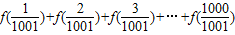
∴
,
,…,
,
∴
=500×1=500.
故答案为:500.
点评:本题考查函数的性质和应用,解题的关键是推导出f(x)+f(1-x)=1.
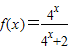
解答:解:∵函数
∴
∴f(x)+f(1-x)=1.
∴
∴
故答案为:500.
点评:本题考查函数的性质和应用,解题的关键是推导出f(x)+f(1-x)=1.
练习册系列答案
相关题目