题目内容
已知中心在原点的双曲线C的右焦点为(2,0),实轴长为2(1)求双曲线C的方程;
(2)若直线l:y=kx+
(3)在(2)的条件下,线段AB的垂直平分线l与y轴交于M(0,b),求b的取值范围.
【答案】分析:(1)设双曲线的标准方程,进而可知a和c的值,进而求得b,双曲线方程可得.
(2)设A(xA,yA),B(xB,yB),把直线方程与双曲线方程联立消去y,根据判别式和韦达定理求得k的范围.
(3)根据(1)中的xA+xB求得yA+yB的表达式,则AB的中点P的坐标可得,设出直线l的方程,将P点坐标代入直线l的方程求得b和k的关系是,进而根据k的范围确定b的范围.
解答:解:(1)设双曲线方程为
-
=1(a>0,b>0).
由已知得:a=
,c=2,再由a2+b2=c2,∴b2=1,
∴双曲线方程为
-y2=1.
(2)设A(xA,yA),B(xB,yB),
将y=kx+
代入
-y2=1,
得(1-3k2)x2-6
kx-9=0.
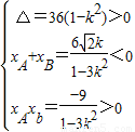
由题意知
解得
<k<1.
∴当
<k<1时,l与双曲线左支有两个交点.
(3)由(2)得:xA+xB=
,
∴yA+yB=(kxA+
)+(kxB+
)
=k(xA+xB)+2
=
,
∴AB的中点P的坐标为(
,
).
设直线l的方程为:y=-
x+b,
将P点坐标代入直线l的方程,得b=
.
∵
<k<1,∴-2<1-3k2<0,
∴b<-2
.
∴b的取值范围为(-∞,-2
).
点评:本题主要考查了双曲线的标准方程以及直线与双曲线的关系.考查了学生综合分析问题和运算的能力.
(2)设A(xA,yA),B(xB,yB),把直线方程与双曲线方程联立消去y,根据判别式和韦达定理求得k的范围.
(3)根据(1)中的xA+xB求得yA+yB的表达式,则AB的中点P的坐标可得,设出直线l的方程,将P点坐标代入直线l的方程求得b和k的关系是,进而根据k的范围确定b的范围.
解答:解:(1)设双曲线方程为
由已知得:a=
∴双曲线方程为
(2)设A(xA,yA),B(xB,yB),
将y=kx+
得(1-3k2)x2-6
由题意知
∴当
(3)由(2)得:xA+xB=
∴yA+yB=(kxA+
=k(xA+xB)+2
∴AB的中点P的坐标为(
设直线l的方程为:y=-
将P点坐标代入直线l的方程,得b=
∵
∴b<-2
∴b的取值范围为(-∞,-2
点评:本题主要考查了双曲线的标准方程以及直线与双曲线的关系.考查了学生综合分析问题和运算的能力.
练习册系列答案
相关题目