题目内容
已知等差数列{an}中,a3+a7<2a6且a3,a7是方程x2-18x+65=0的两根,数列{bn}的前项和Sn=1-bn。
(1)求数列{an}和{bn}的通项公式;
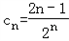
(2)记cn=anbn,求数列{cn}的前n项的和Tn,并证明
。
(1)求数列{an}和{bn}的通项公式;
(2)记cn=anbn,求数列{cn}的前n项的和Tn,并证明
解:(1)由a3+a7=2a5<2a6得a5<a6,
所以数列{an}是递增数列
所以a3<a7
由x2-18x+65=0解得a3=5,a7=13
公差
,
所以an=a3+(n-3)d=2n-1(n∈N*)
由Sn=1-bn得,当n=1时,
;
当n≥2时,bn=Sn-Sn-1,得
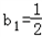
所以{bn}是首项为
,公比为
的等比数列,
所以
。
(2)证明:由(1)得
,
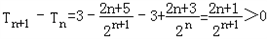
所以由错位相减法得
因为
所以{Tn}是递增数列,所以
故
。
所以数列{an}是递增数列
所以a3<a7
由x2-18x+65=0解得a3=5,a7=13
公差
所以an=a3+(n-3)d=2n-1(n∈N*)
由Sn=1-bn得,当n=1时,
当n≥2时,bn=Sn-Sn-1,得
所以{bn}是首项为
所以
(2)证明:由(1)得
所以由错位相减法得
因为
所以{Tn}是递增数列,所以
故
练习册系列答案
相关题目