题目内容
已知函数f(x)=plnx+(p﹣1)x2+1.
(1)当p=1时,f(x)≤ λx恒成立,求实数λ的取值范围.
(2)当p>0时,讨论函数f(x)的单调性.
(1)当p=1时,f(x)≤ λx恒成立,求实数λ的取值范围.
(2)当p>0时,讨论函数f(x)的单调性.
解:(1)当p=1时,f(x)≤λx恒成立,等价于1+lnx≤kx,
∴
,f(x)的定义域为(0,+∞)
令
,则λ≥h(x)max,
因为
,由h'(x)=0得x=1,
且当x∈(0,1)时,h'(x)>0;
当x∈(1,+∞)时,h'(x)<0.所以h(x)在(0,1)上递增,在(1,+∞)上递减.
所以h(x)max=h(1)=1,
故λ≥1;
(2)f(x)的定义域为(0,+∞),
当p>1时,f'(x)>0,故f(x)在(0,+∞)单调递增;
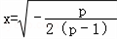
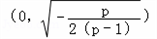
当0<p<1时,令f'(x)=0,解得
.
则当
时,f'(x)>0;
,f'(x)<0;
f(x)在
单调递增,在
单调递减.
∴
令
因为
且当x∈(0,1)时,h'(x)>0;
当x∈(1,+∞)时,h'(x)<0.所以h(x)在(0,1)上递增,在(1,+∞)上递减.
所以h(x)max=h(1)=1,
故λ≥1;
(2)f(x)的定义域为(0,+∞),
当p>1时,f'(x)>0,故f(x)在(0,+∞)单调递增;
当0<p<1时,令f'(x)=0,解得
则当
f(x)在
练习册系列答案
相关题目