题目内容
已知函数f(x)=a(2cos2
+sinx)+b,
(1)当a=1时,求函数f(x)的单调递增区间;
(2)当a<0,且x∈[0,π]时,函数f(x)的值域为[3,4],求a,b的值。
(1)当a=1时,求函数f(x)的单调递增区间;
(2)当a<0,且x∈[0,π]时,函数f(x)的值域为[3,4],求a,b的值。
解:(1)
,
若a=1,则
,
由
,
得
,
∴a=1时,f(x)的单调递增区间为
;
(2)由
,
∴
,
又a<0,
∴
,
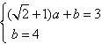
依题意,得
,
解得
,
故
,b=4。
若a=1,则
由
得
∴a=1时,f(x)的单调递增区间为
(2)由
∴
又a<0,
∴
依题意,得
解得
故
练习册系列答案
相关题目