题目内容

求圆被直线(是参数)截得的弦长.

 

【答案】

【解析】

试题分析:先将圆极坐标方程及直线参数方程转化成直角坐标方程,然后利用垂径定理及勾股定理求弦长.

试题解析:将圆的极坐标方程转化成直角坐标方程:

即:,即;           2分

而直线 即: ,              4分

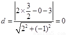
由于圆心到直线的距离,       6分

即直线经过圆心,所以圆被直线截得的弦长为.          7分

考点:坐标系与参数方程.

 

练习册系列答案
相关题目

违法和不良信息举报电话:027-86699610 举报邮箱:58377363@163.com

精英家教网