题目内容
已知在平面直角坐标系xOy中的一个椭圆,它的中心在原点,左焦点为F(-(1)求该椭圆的标准方程;
(2)过原点O的直线交椭圆于点B、C,求△ABC面积的最大值.
【答案】分析:(Ⅰ)由左焦点为
,右顶点为D(2,0),得到椭圆的半长轴a,半焦距c,再求得半短轴b,最后由椭圆的焦点在x轴上求得方程.
(2)当BC垂直于x轴时,BC=2,S△ABC=1;当BC不垂直于x轴时,设该直线方程为y=kx,代入椭圆方程,求得B,C的坐标,进而求得弦长|BC|,再求原点到直线的距离,从而可得三角形面积模型,再用基本不等式求其最值.
解答:解:(Ⅰ)由已知得椭圆的半长轴a=2,半焦距c=
,则半短轴b=1.
又椭圆的焦点在x轴上,
∴椭圆的标准方程为
(II)当BC垂直于x轴时,BC=2,S△ABC=1
当BC不垂直于x轴时,设该直线方程为y=kx,代入
解得B(
),C(
),
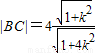
则
,又点A到直线BC的距离d=
,
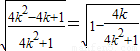
∴△ABC的面积S△ABC=
于是S△ABC=
要使△ABC面积的最大值,则k<0
由
≥-1,得S△ABC≤
,其中,当k=
时,等号成立.
∴S△ABC的最大值是
点评:本题的考点是直线与圆锥曲线的综合问题,主要考查椭圆的几何性质,考查椭圆的标准方程,考查直线与椭圆的位置关系,求三角形面积的最值,关键是构建模型,利用基本不等式求解.
(2)当BC垂直于x轴时,BC=2,S△ABC=1;当BC不垂直于x轴时,设该直线方程为y=kx,代入椭圆方程,求得B,C的坐标,进而求得弦长|BC|,再求原点到直线的距离,从而可得三角形面积模型,再用基本不等式求其最值.
解答:解:(Ⅰ)由已知得椭圆的半长轴a=2,半焦距c=
又椭圆的焦点在x轴上,
∴椭圆的标准方程为
(II)当BC垂直于x轴时,BC=2,S△ABC=1
当BC不垂直于x轴时,设该直线方程为y=kx,代入
解得B(
则
∴△ABC的面积S△ABC=
于是S△ABC=
要使△ABC面积的最大值,则k<0
由
∴S△ABC的最大值是
点评:本题的考点是直线与圆锥曲线的综合问题,主要考查椭圆的几何性质,考查椭圆的标准方程,考查直线与椭圆的位置关系,求三角形面积的最值,关键是构建模型,利用基本不等式求解.
练习册系列答案
相关题目