题目内容
已知在((1)求n;
(2)求含x2项的系数;
(3)求展开式中所有的有理项.
【答案】分析:(1)由二项式定理,可得(
-
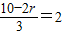
)n的展开式的通项,又由题意,可得当r=5时,x的指数为0,即
,解可得n的值,
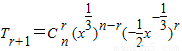
(2)由(1)可得,其通项为Tr+1=(-
)rC10r
,令x的指数为2,可得
,解可得r的值,将其代入通项即可得答案;
(3)由(1)可得,其通项为Tr+1=(-
)rC10r
,令x的指数为整数,可得当r=2,5,8时,是有理项,代入通项可得答案.
解答:解:(1)根据题意,可得(
-
)n的展开式的通项为
=
,
又由第6项为常数项,则当r=5时,
,
即
=0,解可得n=10,
(2)由(1)可得,Tr+1=(-
)rC10r
,
令
,可得r=2,
所以含x2项的系数为
,
(3)由(1)可得,Tr+1=(-
)rC10r
,
若Tr+1为有理项,则有
,且0≤r≤10,
分析可得当r=2,5,8时,
为整数,
则展开式中的有理项分别为
.
点评:本题考查二项式定理的应用,解题时要区分有理项与常数项,关键是根据二项式定理,写出其展开式的通项.
(2)由(1)可得,其通项为Tr+1=(-
(3)由(1)可得,其通项为Tr+1=(-
解答:解:(1)根据题意,可得(
又由第6项为常数项,则当r=5时,
即
(2)由(1)可得,Tr+1=(-
令
所以含x2项的系数为
(3)由(1)可得,Tr+1=(-
若Tr+1为有理项,则有
分析可得当r=2,5,8时,
则展开式中的有理项分别为
点评:本题考查二项式定理的应用,解题时要区分有理项与常数项,关键是根据二项式定理,写出其展开式的通项.
练习册系列答案
相关题目