题目内容
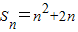
已知数列{an}的前n项和(1)求数列{an}的通项公式.
(2)设
【答案】分析:(1)再写一式,两式相减,可得数列{an}的通项公式.
(2)利用裂项法求出数列的和,即可证得结论.
解答:(1)解:∵
,
∴n≥2时,
两式相减可得an=2n+1
∵n=1时,a1=S1=3满足上式
∴an=2n+1…(6分)
(2)证明:∵
…(9分)
∴
=
…(12分)
点评:本题考查数列的通项,考查不等式的证明,确定数列的通项,正确求和是关键.
(2)利用裂项法求出数列的和,即可证得结论.
解答:(1)解:∵
∴n≥2时,
两式相减可得an=2n+1
∵n=1时,a1=S1=3满足上式
∴an=2n+1…(6分)
(2)证明:∵
∴
点评:本题考查数列的通项,考查不等式的证明,确定数列的通项,正确求和是关键.
练习册系列答案
相关题目
已知数列{an}的前n项和Sn=an2+bn(a、b∈R),且S25=100,则a12+a14等于( )
| A、16 | B、8 | C、4 | D、不确定 |