题目内容
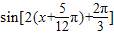
将函数
【答案】分析:将函数
的图象向左平移至少
个单位,可得函数y=
=-cos2x的图象,而y=-cos2x是偶函数,从而得到答案.
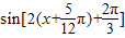
解答:解:将函数
的图象向左平移至少
个单位,可得函数y=
=sin(2x+
)=-cos2x的图象,
而y=-cos2x是偶函数,满足条件,
故答案为
.
点评:本题主要考查诱导公式的应用,利用了y=Asin(ωx+∅)的图象变换规律,属于中档题.
解答:解:将函数
而y=-cos2x是偶函数,满足条件,
故答案为
点评:本题主要考查诱导公式的应用,利用了y=Asin(ωx+∅)的图象变换规律,属于中档题.
练习册系列答案
相关题目