题目内容
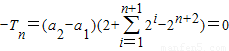
设数列{an}是一个无穷数列,记(1)若{an}是等差数列,证明:对于任意的n∈N*,Tn=0;
(2)对任意的n∈N*,若Tn=0,证明:an是等差数列;
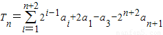
(3)若Tn=0,且a1=0,a2=1,数列bn满足
【答案】分析:(1)、根据题中已知条件写出2Tn的表达式,将Tn与2Tn相减便可得出-Tn的表达式,将{an}是等差数列代入-Tn的表达式便可证明对于任意的n∈N*,Tn=0;
(2)、根据题中条件先将Tn=0,再将Tn+1=0,然后将两式相减得出an+1、an+2与an+3的关系式,再将T1=0,便可得出a1、a2与a3的关系式,即可证明{an}是等差数列;
(3)、存在,根已知条件写出数列bn的公式进而求得Sn,再根据题中的新定义写出ab的形式,取出满足条件的a的取值范围,分别讨论当b为偶数和奇数时是否存在“好和”,便可求出当n=3时存在“好和“.
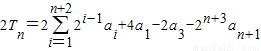
解答:解:(1)对于任意的正整数n,
∵
,

将上面两等式作差得:
∵数列an是等差数列,
∴
,
∴Tn=0.
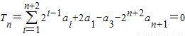
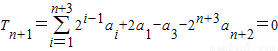
(2)∵对于任意的正整数n,
∴
将上面两等式作差得:an+3-2an+2+an+1=0,
由
,即a3-a2=a2-a1,
于是,对一切正整数n都是an+1-2an+1+an+1=0,所以数列{an}是等差数列.
(3)由(2)知an是等差数列,其公差是1,所以an=a1+(n-1)=n-1,
,
当n≥2时,Sn=3+2+4++2n-1=2n+1,S1=3=2+1,
所以对一切正整数n都有Sn=2n+1.
由ab=2n+1,ab-1=2n,a,b∈N,a>1,b>1,
∴a只能是不小于3的奇数.
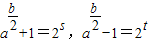
当b为偶数时,
,因为
和
都是大于1的正整数,
所以存在正整数t,s使得
,
2s-2t=2,2t(2s-t-1)=2,
∴2t=2且2s-t-1=1,t=1,s=2,相应的n=3,即有S3=32,S3为好和;
当b为奇数时,ab-1=(a-1)(1+a+a2++ab-1),
由于1+a+a2++ab-1是b个奇数之和,仍为奇数,又a-1为正偶数,
所以(a-1)(1+a+a2++ab-1)不成立,这时没有好和.
点评:本题主要涉及等差数列和等比数列的性质,以及利用相减法求前n项的和等知识点,考查学生的运算能力和对数列的综合掌握,解题时注意转化思想和分类讨论思想的运用,时各地高考的热点和难点,属于中档题.
(2)、根据题中条件先将Tn=0,再将Tn+1=0,然后将两式相减得出an+1、an+2与an+3的关系式,再将T1=0,便可得出a1、a2与a3的关系式,即可证明{an}是等差数列;
(3)、存在,根已知条件写出数列bn的公式进而求得Sn,再根据题中的新定义写出ab的形式,取出满足条件的a的取值范围,分别讨论当b为偶数和奇数时是否存在“好和”,便可求出当n=3时存在“好和“.
解答:解:(1)对于任意的正整数n,
∵
将上面两等式作差得:
∵数列an是等差数列,
∴
∴Tn=0.
(2)∵对于任意的正整数n,
∴
将上面两等式作差得:an+3-2an+2+an+1=0,
由
于是,对一切正整数n都是an+1-2an+1+an+1=0,所以数列{an}是等差数列.
(3)由(2)知an是等差数列,其公差是1,所以an=a1+(n-1)=n-1,
当n≥2时,Sn=3+2+4++2n-1=2n+1,S1=3=2+1,
所以对一切正整数n都有Sn=2n+1.
由ab=2n+1,ab-1=2n,a,b∈N,a>1,b>1,
∴a只能是不小于3的奇数.
当b为偶数时,
所以存在正整数t,s使得
2s-2t=2,2t(2s-t-1)=2,
∴2t=2且2s-t-1=1,t=1,s=2,相应的n=3,即有S3=32,S3为好和;
当b为奇数时,ab-1=(a-1)(1+a+a2++ab-1),
由于1+a+a2++ab-1是b个奇数之和,仍为奇数,又a-1为正偶数,
所以(a-1)(1+a+a2++ab-1)不成立,这时没有好和.
点评:本题主要涉及等差数列和等比数列的性质,以及利用相减法求前n项的和等知识点,考查学生的运算能力和对数列的综合掌握,解题时注意转化思想和分类讨论思想的运用,时各地高考的热点和难点,属于中档题.
练习册系列答案
相关题目