题目内容

已知椭圆C:的离心率为,长轴长为.

(Ⅰ)求椭圆的方程;

(Ⅱ)若直线交椭圆C于A、B两点,试问:在y轴正半轴上是否存在一个定点M满足,若存在,求出点M的坐标;若不存在,请说明理由.

 

【答案】

(I).(II)存在点满足.

【解析】

试题分析:(I)利用椭圆的几何性质得.

(II)通过研究时,可知满足条件,若所求的定点M存在,则一定是P点.

证明就是满足条件的定点.

将直线方程与椭圆方程联立并整理,应用韦达定理,将用坐标表示,根据

得到使的点.

试题解析:(I)由题意得              2分

解得                3分

椭圆的方程为.                4分

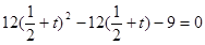
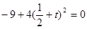
(II)当时,直线与椭圆交于两点的坐标分别为

设y轴上一点,满足, 即

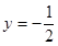
解得(舍),

则可知满足条件,若所求的定点M存在,则一定是P点.        6分

下面证明就是满足条件的定点.

 设直线交椭圆于点,.

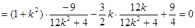
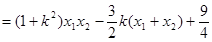
由题意联立方程        8分

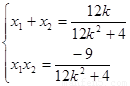
由韦达定理得,             9分

            11分

,即在y轴正半轴上存在定点满足条件.       12分

解法2:

设y轴上一点,满足, 即,        5分

设直线交椭圆于点, .

由题意联立方程        7分

由韦达定理得,             8分

           10分

整理得,

由对任意k都成立,得

解得                                    11分

所以存在点满足.                 12分

考点:椭圆的几何性质,直线与椭圆的位置关系,平面向量的坐标运算.

 

练习册系列答案
相关题目

违法和不良信息举报电话:027-86699610 举报邮箱:58377363@163.com

精英家教网