题目内容
已知a>0,a≠1,试求使方程
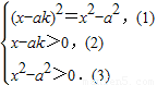
【答案】分析:由题设条件可知,原方程的解x应满足
,当(1),(2)同时成立时,(3)显然成立,
因此只需解
,再根据这个不等式组的解集并结合对数函数的性质可以求出k的取值范围.
解答:解:由对数函数的性质可知,
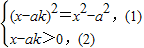
原方程的解x应满足
当(1),(2)同时成立时,(3)显然成立,
因此只需解
由(1)得2kx=a(1+k2)(4)
当k=0时,由a>0知(4)无解,因而原方程无解.
当k≠0时,(4)的解是
把(5)代入(2),得
解得:-∞<k<-1或0<k<1.
综合得,当k在集合(-∞,-1)∪(0,1)内取值时,原方程有解.
点评:解题时要注意分类讨论思想的灵活运用.
因此只需解
解答:解:由对数函数的性质可知,
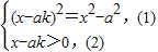
原方程的解x应满足
当(1),(2)同时成立时,(3)显然成立,
因此只需解
由(1)得2kx=a(1+k2)(4)
当k=0时,由a>0知(4)无解,因而原方程无解.
当k≠0时,(4)的解是
把(5)代入(2),得
解得:-∞<k<-1或0<k<1.
综合得,当k在集合(-∞,-1)∪(0,1)内取值时,原方程有解.
点评:解题时要注意分类讨论思想的灵活运用.
练习册系列答案
相关题目