题目内容
已知函数f(x)=(I)当
(II)若函数g(x)=f(x)-
【答案】分析:(Ⅰ)求导数,确定函数的单调性,进而可得函数的极值与最值;
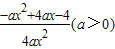
(Ⅱ)求导函数g′(x)=
,构造函数h(x)=-ax2+4ax-4,由题意知,只需h(x)≥0在[1,e]上恒成立,从而可求正实数a的取值范围.
解答:解:(Ⅰ)当
时,
(x>0),
∴当x∈[1,2]时,f′(x)<0;当x∈(2,e]时,f′(x)>0,
∴f(x)在[1,2]上单调递减,在(2,e]上单调递增,
∴f(x)在区间[1,e]上有唯一极小值点,
故f(x)min=f(x)极小值=f(2)=ln2-1.
又∵f(1)=0,f(e)=
.
∴f(x)在区间[1,e]上的最大值为f(x)max=f(1)=0.
综上可知,函数f(x)在[1,e]上的最大值是0,最小值是ln2-1.
(Ⅱ)∵g(x)=f(x)-
x,
∴g′(x)=
,
设h(x)=-ax2+4ax-4,由题意知,只需h(x)≥0在[1,e]上恒成立,
因为a>0,h(x)图象的对称轴为x=2,
所以只需h(1)=3a-4≥0,所以a≥
.
点评:本题考查导数知识的运用,考查函数的单调性与最值,考查学生分析解决问题的能力,属于中档题.
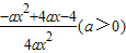
(Ⅱ)求导函数g′(x)=
解答:解:(Ⅰ)当
∴当x∈[1,2]时,f′(x)<0;当x∈(2,e]时,f′(x)>0,
∴f(x)在[1,2]上单调递减,在(2,e]上单调递增,
∴f(x)在区间[1,e]上有唯一极小值点,
故f(x)min=f(x)极小值=f(2)=ln2-1.
又∵f(1)=0,f(e)=
∴f(x)在区间[1,e]上的最大值为f(x)max=f(1)=0.
综上可知,函数f(x)在[1,e]上的最大值是0,最小值是ln2-1.
(Ⅱ)∵g(x)=f(x)-
∴g′(x)=
设h(x)=-ax2+4ax-4,由题意知,只需h(x)≥0在[1,e]上恒成立,
因为a>0,h(x)图象的对称轴为x=2,
所以只需h(1)=3a-4≥0,所以a≥
点评:本题考查导数知识的运用,考查函数的单调性与最值,考查学生分析解决问题的能力,属于中档题.
练习册系列答案
相关题目
已知函数f(x)=x2-bx的图象在点A(1,f(1))处的切线l与直线3x-y+2=0平行,若数列{
}的前n项和为Sn,则S2010的值为( )
| 1 |
| f(n) |
A、
| ||
B、
| ||
C、
| ||
D、
|