题目内容
已知函数f(x)=log2(ax2+2x-3a).(Ⅰ)当a=-1时,求该函数的定义域和值域;
(Ⅱ)如果f(x)≥1在区间[2,3]上恒成立,求实数a的取值范围.
【答案】分析:(1)当a=-1时,f(x)=log2(ax2+2x-3a),令-x2+2x+3>0,解得-1<<x<3,可得函数f(x)的定义域,确定真数的范围,可得函数f(x)的值域;
(2)f(x)≥1在区间[2,3]上恒成立等价于ax2+2x-3a-2≥0在区间[2,3]上恒成立,分离参数,构造函数,确定函数的最值,即可得到a的取值范围.
解答:解:(1)当a=-1时,f(x)=log2(ax2+2x-3a).
令-x2+2x+3>0,解得-1<x<3
所以函数f(x)的定义域为(-1,3).
令t=-x2+2x+3=-(x-1)2+4,则0<t≤4
所以f(x)=log2t≤log24=2
因此函数f(x)的值域为(-∞,2](6分)
(2)f(x)≥1在区间[2,3]上恒成立等价于ax2+2x-3a-2≥0在区间[2,3]上恒成立
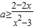
由ax2+2x-3a-2≥0且x∈[2,3]时,x2-3>0,得
令
,则h′(x)=
所以h(x)在区间[2,3]上是增函数,所以h(x)max=h(3)=-
因此a的取值范围是[-
,+∞).(12分)
点评:本题考查函数的定义域与值域,考查恒成立问题,解题的关键是分离参数,确定函数的最值,属于中档题.
(2)f(x)≥1在区间[2,3]上恒成立等价于ax2+2x-3a-2≥0在区间[2,3]上恒成立,分离参数,构造函数,确定函数的最值,即可得到a的取值范围.
解答:解:(1)当a=-1时,f(x)=log2(ax2+2x-3a).
令-x2+2x+3>0,解得-1<x<3
所以函数f(x)的定义域为(-1,3).
令t=-x2+2x+3=-(x-1)2+4,则0<t≤4
所以f(x)=log2t≤log24=2
因此函数f(x)的值域为(-∞,2](6分)
(2)f(x)≥1在区间[2,3]上恒成立等价于ax2+2x-3a-2≥0在区间[2,3]上恒成立
由ax2+2x-3a-2≥0且x∈[2,3]时,x2-3>0,得
令
所以h(x)在区间[2,3]上是增函数,所以h(x)max=h(3)=-
因此a的取值范围是[-
点评:本题考查函数的定义域与值域,考查恒成立问题,解题的关键是分离参数,确定函数的最值,属于中档题.
练习册系列答案
相关题目