题目内容
已知函数(1)判断函数f(x)的奇偶性;
(2)判断函数f(x)在(1,+∞)上的单调性,并给出证明;
(3)当x∈(n,a-2)时,函数f(x)的值域是(1,+∞),求实数a与n的值.
【答案】分析:(1)先求函数的定义域看是否关于原点对称,然后在用奇偶函数的定义判断,要注意到代入-x时,真数是原来的倒数,这样就不难并判断奇偶性.
(2)用单调性的定义进行证明,首先在所给的区间上任取两个自变量看真数的大小关系,然后在根据底的不同判断函数单调性.
(3)要根据第二问的结论,进行分类讨论,解出两种情况下的实数a与n的值.
解答:解:(1)由
得函数f(x)的定义域为(1,+∞)∪(-∞,-1),…(2分)
又
所以f(x)为奇函数. …(4分)
(2)由(1)及题设知:
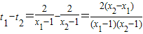
,设
,
∴当x1>x2>1时,
∴t1<t2.…(6分)
当a>1时,logat1<logat2,即f(x1)<f(x2).
∴当a>1时,f(x)在(1,+∞)上是减函数.
同理当0<a<1时,f(x)在(1,+∞)上是增函数.…(8分)
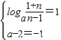
(3)①当n<a-2≤-1时,有0<a<1.
由(2)可知:f(x)在(n,a-2)为增函数,…(9分)
由其值域为(1,+∞)知
,无解 …(11分)
②当1≤n<a-2时,有a>3.由(2)知:f(x)在(n,a-2)为减函数,
由其值域为(1,+∞)知
…(13分)
得
,n=1.…(14分)
点评:本题主要考查了对数型函数的奇偶性和单调性的判断,要先看真数部分在看整体的先后顺序进行,还要注意对底数的讨论,总体来说本题很基础、很典型,是不得不练的好题.
(2)用单调性的定义进行证明,首先在所给的区间上任取两个自变量看真数的大小关系,然后在根据底的不同判断函数单调性.
(3)要根据第二问的结论,进行分类讨论,解出两种情况下的实数a与n的值.
解答:解:(1)由
又
所以f(x)为奇函数. …(4分)
(2)由(1)及题设知:
∴当x1>x2>1时,
当a>1时,logat1<logat2,即f(x1)<f(x2).
∴当a>1时,f(x)在(1,+∞)上是减函数.
同理当0<a<1时,f(x)在(1,+∞)上是增函数.…(8分)
(3)①当n<a-2≤-1时,有0<a<1.
由(2)可知:f(x)在(n,a-2)为增函数,…(9分)
由其值域为(1,+∞)知
②当1≤n<a-2时,有a>3.由(2)知:f(x)在(n,a-2)为减函数,
由其值域为(1,+∞)知
得
点评:本题主要考查了对数型函数的奇偶性和单调性的判断,要先看真数部分在看整体的先后顺序进行,还要注意对底数的讨论,总体来说本题很基础、很典型,是不得不练的好题.
练习册系列答案
相关题目