题目内容

已知各项均不相等的等差数列的前四项和是a1,a7。      
(1)求数列的通项公式;    
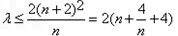
(2)设Tn为数列的前n项和,若对一切恒成立,求实数的最大值。
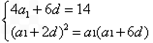
解:(1)设公差为d ,由已知得   解得d=1或d=0(舍去)      

(2)

,        

   
 
练习册系列答案
相关题目

违法和不良信息举报电话:027-86699610 举报邮箱:58377363@163.com

精英家教网