题目内容
已知各项均为正数的数列{an}满足an+12-an+1an-2an2=0,且a3+2是a2,a4的等差中项。
(1)求数列{an}的通项公式;
(2)若bn=an
,Sn=b1+b2+…+bn,求使Sn+n·2n+1>50成立的正整数n的最小值。
(1)求数列{an}的通项公式;
(2)若bn=an
解:(1)∵
∴
∵数列{an}的各项均为正数,
∴
∴
即
所以数列{an}是以2为公比的等比数列
∵
是
的等差中项
∴
∴
∴
∴数列{an}的通项公式an=2n;
(2)由(1)及
得
∵
∴
①
∴
②
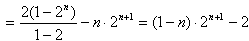
①-②得

要使
成立,只需
成立
即
使
成立的正整数n的最小值为5。
∴
∵数列{an}的各项均为正数,
∴
∴
即
所以数列{an}是以2为公比的等比数列
∵
∴
∴
∴
∴数列{an}的通项公式an=2n;
(2)由(1)及
∵
∴
∴
①-②得
要使
即
使
练习册系列答案
相关题目