题目内容
已知函数f(x)=
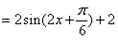
sin2x+2cos2x+1,
(1)求函数f(x)的单调递增区间;
(2)设△ABC的内角A,B,C对边分别为a,b,c,且c=
,f(C)=3,若2sinA=sinB,求a,b的值。
(1)求函数f(x)的单调递增区间;
(2)设△ABC的内角A,B,C对边分别为a,b,c,且c=
解:(1)∵
,
令
,解得
,
∴f(x)的单调递增区间为
。
(2)由题意可知,
,
∴
,
∵0<C<π,
∴
或
,
即C=0(舍去)或
,
∵
即
,
,
解得a=1,b=2。
令
∴f(x)的单调递增区间为
(2)由题意可知,
∴
∵0<C<π,
∴
即C=0(舍去)或
∵
解得a=1,b=2。
练习册系列答案
相关题目