题目内容
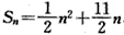
已知Sn为数列{an}的前n项和,
;数列{bn}满足:b3=11,bn+2=2bn+1-bn,其前9项和为
153,
(1)求数列{an},{bn}的通项公式;
(2)设Tn为数列{cn}的前n项和,
,求使不等式
对任意的n∈N*都成立的最大正整数k的值.
153,
(1)求数列{an},{bn}的通项公式;
(2)设Tn为数列{cn}的前n项和,
解:(1)∵
,
∴当n=1时,
,
当n≥2时,
,
当n=1时,1+5=6=a1,
∴
,
∵
,
∴
,
∴{bn}是等差数列,设其公差为d,
则
,∴
,
∴
。
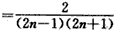
(2)∵


,
∴

,
又n∈N*,
∴Tn是单调递增数列,
∴当n=1时,
,
∴
对任意的n∈N*都成立
,
故所求最大正整数k的值为37。
∴当n=1时,
当n≥2时,
当n=1时,1+5=6=a1,
∴
∵
∴
∴{bn}是等差数列,设其公差为d,
则
∴
(2)∵
∴
又n∈N*,
∴Tn是单调递增数列,
∴当n=1时,
∴
故所求最大正整数k的值为37。
练习册系列答案
相关题目