题目内容
已知函数f(x)=sin2x+2sinxcosx+3cos2x,x∈R,求:
(1)函数f(x)的最大值及取得最大值的自变量x的集合;
(2)函数f(x)的单调增区间。
(1)函数f(x)的最大值及取得最大值的自变量x的集合;
(2)函数f(x)的单调增区间。
解:(1)∵


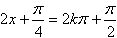
∴当
,即
时,f(x)取得最大值
因此f(x)取得最大值的自变量x的集合是
。
(2)
由题意得
即
因此,f(x)的单调增区间是[
]。
∴当
因此f(x)取得最大值的自变量x的集合是
(2)
由题意得
即
因此,f(x)的单调增区间是[
练习册系列答案
相关题目