题目内容
已知数列{an}满足a1=(I)求数列{an}、{bn}的通项公式an,bn;
(II)设
【答案】分析:(I)把式子变形,构造数列{dn}由累加法可得an,由数列的通项和前n想和的关系可得bn;
(II)①由数列{bncn}的特点,用错位相减法可求和,②式子
可化为
,下面用裂项相消法可得答案.
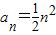
解答:解:(I)因为an=
(n≥2,n∈N*),
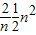
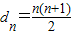
所以
,设
,
则dn-dn-1=n(n≥2,n∈N*),d1=1,
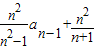
由累加法可得:
,故
∵
①,∴
②
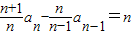
②-①得
=bn+1,∴bn+1=-2bn
把n=1代入①式可得b1=-2,
∴
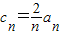
(II)由(I)可知
=
=n
①bncn=n•(-2)n
∴
n•(-2)n
-2
n•(-2)n+1
两式相减得:
(-2)n-n•(-2)n+1
=
=
故所求数列的前n项和为:
②∵sin1=sin[(n+1)-n]=sin(n+1)cosn-cos(n+1)sinn
∴
=
=
=
故所求数列的前n项和为:
An=
[(tan2-tan1)+(tan3-tan2)+…+(tan(n+1)-tann)]
=
[tan(n+1)-tann]
点评:本题为数列的综合应用,涉及累加法,错位相减法,裂项相消法,属中档题.
(II)①由数列{bncn}的特点,用错位相减法可求和,②式子
解答:解:(I)因为an=
所以
则dn-dn-1=n(n≥2,n∈N*),d1=1,
由累加法可得:
∵
②-①得
把n=1代入①式可得b1=-2,
∴
(II)由(I)可知
①bncn=n•(-2)n
∴
-2
两式相减得:
=
故所求数列的前n项和为:
②∵sin1=sin[(n+1)-n]=sin(n+1)cosn-cos(n+1)sinn
∴
=
故所求数列的前n项和为:
An=
=
点评:本题为数列的综合应用,涉及累加法,错位相减法,裂项相消法,属中档题.
练习册系列答案
相关题目